Результати електронних консультацій з громадськістю з питання найменування (перейменування) об’єктів топоніміки Довгинцівського району
опубліковано:
05/01/2024
оновлено:
05/01/2024
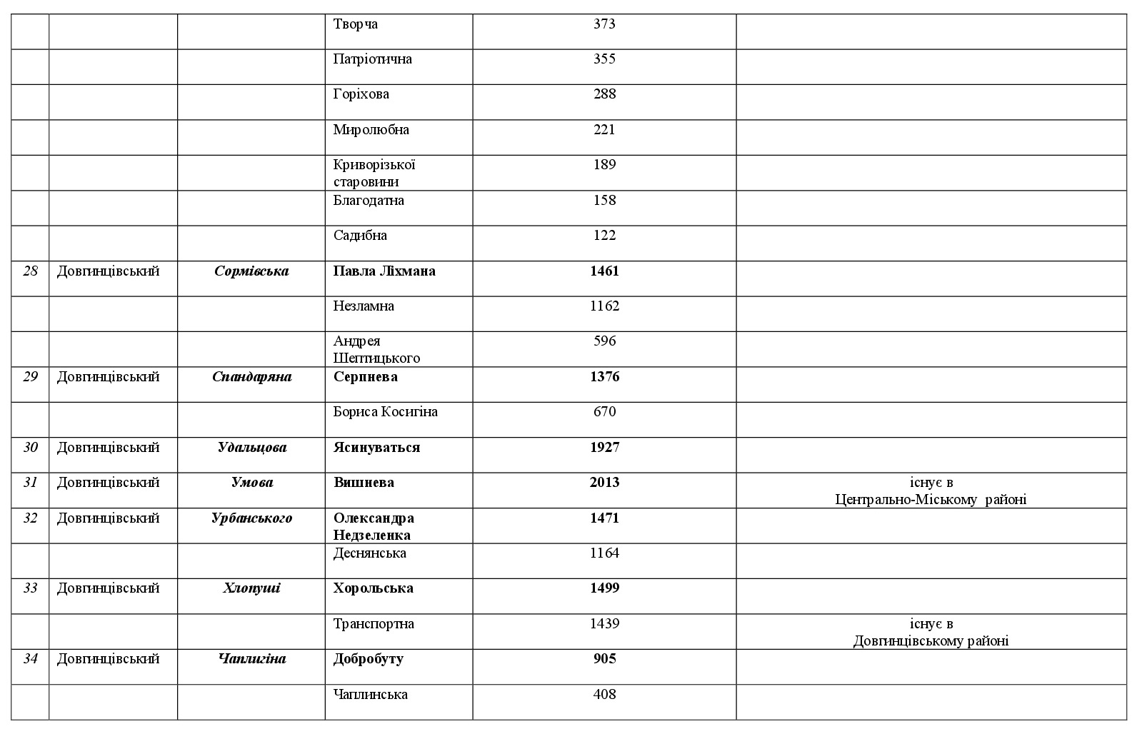
Звіт про результати електронних консультацій (опитування) з громадськістю у форматі «Google Форми» з питання найменування (перейменування) об’єктів топоніміки Довгинцівського району.
Всього в громадському обговорення у форматі «Google Форми» для онлайн-опитування взяли участь 6382 учасника.






